研究概要
試薬開発
フッ素を含む化合物を合成する手法としては,購入可能な含フッ素化合物を化学変換して目的物へと誘導するビルディングブロック法が堅実です。しかし含フッ素化合物はフッ素の特異的な性質により通常とは異なる性質を示し,狙った誘導化が困難となることがしばしばあります。そのため含フッ素化合物を合成する理想的な手法は,合成の最終段階で狙った箇所にフッ素官能基を導入する直接法であると言えます。また直接法を用いることで含フッ素化合物ライブラリーを短期間で構築することができ,医薬品開発における探索期間を大幅に削減できる可能性があります。これまでフッ素置換基を直接導入するためには,フッ素ガス(F2),フッ化水素(HF),トリフルオロヨードメタン(CF3I)等が用いられてきました。しかしこれらは毒性の高いものが多く,また気体分子であるため取り扱いには技術と設備が必要でした。そこで当研究室では,誰でも簡単且つ安全にフッ素置換基を効率的に導入できる試薬の開発を行ってきました。いくつかは既に企業から販売されており,世界中で用いられています。
フッ素化試薬
フッ素化試薬としては,スルホンイミド型のNFSIや塩構造を有するselectfluor,Accufluor等が既に知られています。これらは安定で取扱い易く,1ステップで効率的にフッ素を導入することができるため,広く用いられているフッ素化試薬です。

当研究室ではこれらを改良したフッ素化試薬NFBSIを開発しています。従来のフッ素化試薬より嵩高い骨格を有しており,不斉反応に適した試薬です。シンコナアルカロイド触媒を用いてシリルエノールエーテルに対し不斉フッ素化反応を行った際,NFBSIはNFSIよりも高い選択性で対応するフッ素化体を与えることを見出しています。

J. Fluorine Chem. 2011, 132, 222-225. [リンク]
また不斉骨格を有するフッ素化試薬の開発も行っています。通常エナンチオ選択的なフッ素化を行う場合は,シンコナアルカロイド等の不斉触媒を用いる必要がありますが,本試薬は不斉触媒なしでエナンチオ選択的なフッ素化を行うことができます。一般的に不斉触媒を用いたエナンチオ選択的なフッ素化反応は,反応条件によってその選択性が左右されることが多く,高い選択性を得るには体系的な条件検討が必要となります。しかし本試薬は,どのような反応条件においても一定の選択性を維持することができるため,条件検討期間を削減することができます。これにより医薬品開発を大幅に短縮することが可能となります。

Eur. J. Org. Chem. 2013, 6501-6505. [リンク]
トリフルオロメチル(CF3)化試薬
トリフルオロメチル(CF3)基はフルオロアルキル基の中でも特に医薬品骨格に多く見られる置換基です。当研究室ではアミノスルホキソニウム塩型構造を有する独自のCF3化試薬を開発し,炭素求核種に対する効率的なCF3化反応を実現しています。本試薬は東京化成工業株式会社から販売されています。[リンク]

Eur. J. Org. Chem. 2008, 3465-3468. [リンク]
またベンゾスルホニウム塩構造を有するCF3化試薬を開発しています。本試薬は2位の置換基を変更することで反応性を調整することが可能です。本試薬は炭素求核剤だけではなく,アリールもしくはビニルボロン酸に対しカップリング的にCF3化反応を行うことができます。

Org. Lett. 2015, 17, 1632-1635. [リンク]
トリフルオロメチルチオ(SCF3)基からの転移反応を利用するCF3化試薬も開発しています。本試薬はロジウム触媒を用いカルベン種を発生させ,CF3基を硫黄上から転移させる新しい反応機構でCF3化反応を行います。

ACS Catal. 2015, 5, 4668-4672. [リンク]
ジフルオロメチル(CF2H)化試薬
ジフルオロメチル(CF2H)基は水素結合供与能があり,またヒドロキシ基の生物学的等価体である等,フルオロアルキル基の中でも特殊な性質を示します。当研究室では求電子的なCF2Hとして,非対称なジアリールスルホニウム塩構造を有する試薬を開発しています。本試薬はCF2H化反応だけではなく,ビルディングブロック素材として有用なブロモジフルオロメチル(CF2Br)化反応を行うことができます。CF2Br基は医薬分野においてエーテル等価体として用いられるジフルオロメチレン骨格へと誘導することができます。

New. J. Chem. 2012, 36, 1769-1773. [リンク]
ChemistryOpen 2012, 1, 227-231. [リンク]
Org. Lett. 2013, 15, 1044-1047. [リンク]
求電子的なCF2H化反応は炭素に対する選択性が低く,例えばβ-ケトエステル等に対しCF2H化反応を行うと酸素がCF2H化された異性体が生成します。そこで当研究室ではスルホニル基を導入することで炭素選択性を向上させたベンゾスルホキソニウム塩型CF2H化試薬を開発し,β-ケトエステルの活性メチレンに対し,選択的なCF2H化反応を達成しています。またシンコナアルカロイド触媒を組み合わせることでエナンチオ選択的なCF2H化を行うことができます。

Angew. Chem. Int. Ed. 2014, 53, 1827-1831. [リンク]
モノフルオロメチル(CH2F)化試薬
当研究室ではモノフルオロメチル(CH2F)化試薬として,求核的なCH2F化試薬と求電子的なCH2F化試薬を開発しています。求電子的CH2F化試薬であるFBSMは,光学活性CH2F化合物を高収率で合成することを可能とします。辻・Trost反応やマンニッヒ型反応,スルホニルインドールに対する共役付加反応において非常に高いエナンチオ選択性でFBSM付加体が入手でき,続いて脱硫反応を行うことで光学純度の低下なくCH2F基へと変換が可能です。本試薬はキシダ化学株式会社から販売されています。[リンク]

Angew. Chem. Int. Ed. 2006, 45, 4973-4977. [リンク]
J. Am. Chem. Soc. 2007, 129, 6394-6395. [リンク]
Org. Lett. 2013, 15, 3282-3285. [リンク]
またFBSMを用いたα,β-不飽和カルボニル化合物に対するエナンチオ選択的なマイケル付加反応を達成しています。マイケル付加反応は1,2-付加と1,4-付加反応が競合することがありますが,FBSMは選択的に1,4-付加体を与えることが明らかとしています。一方で当研究室で開発した別のCH2F化試薬FBDTはカルボニル炭素選択性を有しており,本試薬を用いてマイケル付加反応を行った場合,FBSMとは異なり1,2-付加体が選択的に得られることを見出しました。

Angew. Chem. Int. Ed. 2008, 47, 8051-8054. [リンク]
Angew. Chem. Int. Ed. 2010, 49, 1642-1647. [リンク]
Chem. Commun. 2013, 49, 11206-11208. [リンク]
求電子的CH2F化試薬としてアミノスルホキソニウム塩型試薬を開発しています。本試薬はヘテロ原子求核種に対して効率的なCH2F化反応を行うことができます。同骨格のCF3化試薬の場合,β-ケトエステルに対し反応を行うと炭素選択的にCF3基が導入されますが,本試薬では酸素選択的にCH2F基を導入することができます。

Angew. Chem. Int. Ed. 2011, 50, 1885-1889. [リンク]
トリフルオロメチルチオ(SCF3)化試薬
トリフルオロメチルチオ(SCF3)化合物は,医薬品や農薬の活性発現に起因する重要な部分構造です。これまでその製造には,毒性の高い薬品を使用する必要がありましたが,近年SCF3基の安全な導入法が研究されつつあります。その中で当研究室では,安価で安全に取り扱うことの出来る新しいSCF3化試薬の開発に成功し,SCF3化合物の新しい製造法を開発しました。本試薬は銅塩と組み合わせることによりスルホニル骨格が系中で還元され,SCF3活性種が生成するというこれまでにない反応機構でSCF3化反応を行います。本試薬は東京化成工業株式会社から販売されています。[リンク]

J. Am. Chem. Soc. 2013, 135, 8782-8785. [リンク]
Org. Lett. 2015, 17, 1063-1065. [リンク]
Org. Lett. 2015, 17, 1094-1097. [リンク]
Asian J. Org. Chem. 2015, 4, 525-527. [リンク]
Dalton Trans. 2015, 44, 19456-19459. [リンク]
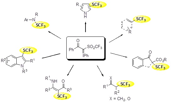
またその次世代型試薬として超原子価ヨウ素骨格をジアゾ骨格に変更したSCF3化試薬を開発しています。本試薬はSCF3基導入試薬として用いることもできますが,β-ラクタム-トリフロン(SO2CF3)を合成するためのビルディング素材にもなります。

Org. Lett. 2015, 17, 5610-5613. [リンク]
ChemsitryOpen 2016, 5, 188-191. [リンク]
フルオロアリール化試薬
フッ素を導入したアリール基は,フッ素の強力な電子求引性によって芳香環中央の電子密度が極端に低くなります。そのため通常の芳香族化合物にはない興味深い性質を示します。当研究室ではこのフルオロアリール基を導入する試薬としてジアリールヨードニウム塩骨格を有するペンタフルオロフェニル(C6F5)化試薬を開発しています。本試薬を用い,β-ケトエステルに対しC6F5化した後,脱炭酸に続く不斉アルキル化反応を行うことで四級不斉C6F5化合物の構築に成功しています。

ChemistryOpen 2014, 3, 233-237. [リンク]
またジアリールヨードニウム塩型のペンタフルオロスルファニル(SF5)フェニル化試薬を開発しています。SF5基はCF3基よりも高い脂溶性と電子求引性をもっておりsuperCF3基と呼ばれ,近年注目を集めつつあります。当研究室では本試薬を用いた求電子的なSF5フェニル化反応を達成しています。

Org. Lett. 2015, 17, 3038-3041. [リンク]
